Climate-Friendly Diets Could Cut Yearly Food Costs by $1T, Says Oxford Study
A University of Oxford study suggests that plant-rich diets could lower agricultural labour costs by nearly $1T annually, calling on governments to support livestock farmers with the transition.
Science is clear on one thing: we’re eating too much meat. Our consumption habits put crippling pressure on an already frail food system: livestock agriculture accounts for up to a fifth of global emissions, 70% of freshwater use, and 80% of farmland.
The industry drives climate change, and has been a victim of its own making – meat shortages and price hikes have become commonplace, and with projected demand for animal proteins set to rise by 6% over the next decade, things are only going to get worse.
Unless, that is, we shift towards more climate-friendly eating patterns, replacing meat and dairy with plants. Previous research has shown that fully vegan diets could lower emissions, land use and water pollution by 75%, and according to the Eat-Lancet Commission’s latest report, plant-forward flexitarian diets could cut emissions by 15% and prevent 15 million premature deaths a year.
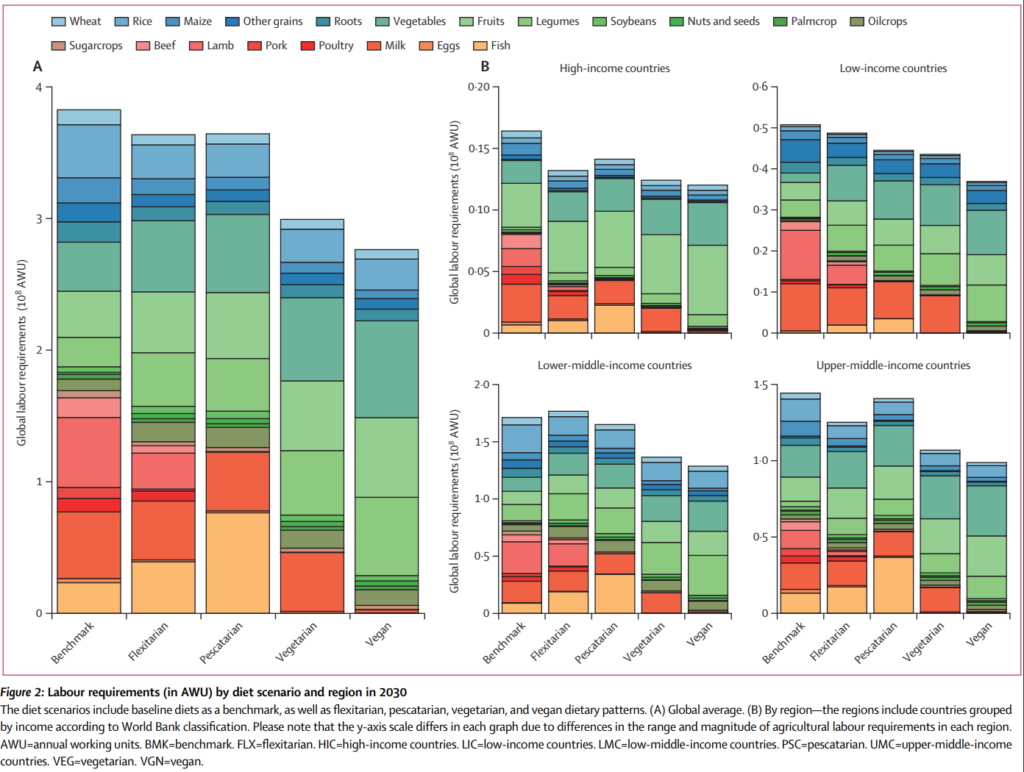
And a new study by researchers at the University of Oxford suggests that if the world embraces plant-based diets more, it could lower annual food production costs by nearly $1T. This is because animal products require four times more labour per kilotonne than crops, with lamb and beef leading the pack.
This is why it’s imperative that governments support farmers in order to usher in a just transition, the study stated.
Decrease in labour demand offset by horticulture hike

The research, published in The Lancet Planetary Health, examined how different dietary patterns would affect the number of people working full-time to grow, raise and harvest food in 179 countries.
To do so, they combined data from a global inventory of farm labour requirements for crops and livestock with a biophysical model of food production to estimate labour needs for 20 food groups at global, regional, and national levels.
They found that the lower demand for livestock production would shrink labour needs by 5% from flexitarian and pescetarian diets and 28% from vegetarian and vegan diets by 2030 – that’s equivalent to 18-106 million full-time jobs.
But at the same time, the demand for horticulture workers to produce fruits, vegetables, legumes and plant-based foods would increase by 8-25%, or 83-56 million labourers.
The changes differ from region to region. A shift towards flexitarian diets would result in larger job decreases in richer countries (-20%) than in low-income nations (-4%), since the agriculture sector in the former is dominated by livestock production.
The increase in labour requirements, meanwhile, occurred in countries specialised in producing crops for domestic consumption and export, like Colombia and Ecuador, as well as nations that require an increase in horticultural production in the different diet scenarios, like Eritrea, The Gambia and other sub-Saharan African states.
When pairing these changes with data on agricultural wages, the researchers found that global labour costs would be 10% less for pescatarian and flexitarian diets and up to 32% less for meat-free eating patterns, ranging from $290B to $995B (or around 0.2-0.6% of global GDP). The effect is strongest in low-income countries, where labour costs could be slashed by an amount up to 11% of the regional GDP.

Food system change is crucial, as is a just transition
“The food system has major impacts on the environment and health, and without changes towards balanced and more plant-based dietary patterns, there is little chance to mitigate climate change and environmental degradation in line with environmental limits,” the study stated.
The resulting changes in labour demand will bring both challenges and opportunities. In countries with greater demand for plant-based food, there will be more employment needs, which could be welcome news for low-income nations.
“However, concerted efforts to recruit additional agricultural labourers might be necessary in higher-income countries in which agriculture represents only a small fraction of the economy and is seen as comparatively less desirable,” the researchers wrote.
In terms of policy interventions, they suggest tapping into existing labour pools by promoting relocation and immigration schemes, and addressing seasonal work through coupled work programmes as well as automation.
To manage excess labour, countries with the appropriate financial means could redeploy farm workers within the same sector – think shifting from livestock production to horticulture or to work in nature conservation. Another option could be to provide additional training for agricultural workers so they can take up work in better-paid sectors, like manufacturing, construction, foodservice, retail, or wholesale trading.
“Dietary change doesn’t just affect our health and the planet – it also has a big impact on people’s livelihoods. Moving away from meat-heavy diets reduces the need for labour in animal production but increases demand in horticulture and food services,” said lead author Marco Springmann, a senior researcher at the University of Oxford’s Environmental Change Institute.
As COP30 beckons, he urged the government to help the livestock industry undergo an economically sustainable shift. “Consistent strategies and political support will be needed to enable just transitions both into and out of agricultural labour.”
